この夏の異常な暑さには、だいぶ参っています。私の住んでいる大分県別府市では、この7、8月の雨量は記録的な少なさになっています。このひと月の雨量は殆どゼロと言っても良いくらいです。それでも今週後半からはそれ以前と少し様子が変わってきたように思います。いい加減に秋風が吹いて欲しいところです。
今年の夏の暑さの原因について、簡単に触れておくことにします。さすがにこの異常な暑さを気象庁も人為的なCO2地球温暖化のせいだとは言いません(笑)。端的に言えば、非常に安定した晴天が継続したことが暑さの直接的な原因です。もう少し科学っぽく言えば、日本、特に西日本に非常に安定した背の高い高気圧が継続的に居座り続けたことが暑さの原因です。
もう少し具体的に考えてみましょう。当地ではこの夏の晴天は、単に「晴れ」というレベルではなく、見た目では秋空を思わせる透明な青空でした。普段の夏の、どちらかと言えば、水蒸気に満たされた白っぽい青空とは違っていました。その結果、
@地表面に到達する有効太陽放射量が大きくなり、例年以上に直接地表面を温めました。
晴天が連日続き降水量も極端に少なく、したがって地表付近は、
A降雨による地表面の水冷による冷却効果が得られず、
B地表面からの蒸散による潜熱の放出が少なく、地表面からの赤外線放射が相対的に大きくなり、
砂漠的な暑さに近くなったのです。更に、
C日本に居座り続けた高気圧の背が高く、乾燥していたこと
が大きな原因です。
地表で観測される気圧の等しい高気圧を考えます。相対的に背の高い高気圧=対流圏界面の標高が高い高気圧ほど高気圧を構成する対流圏大気の密度は小さく、したがって温かい大気で構成されていることを示しています。仮に対流圏界面の大気温度が等しい場合、対流圏界面以下の平均的な断熱温度減率が等しいとすれば、対流圏界面が高いほど地表面の大気温度=気温は高くなります。
後に示す高層天気図を例に考えてみます。チベット高気圧部分の対流圏界面の標高を仮に12,550m、大気の温度を−48℃、対流圏の平均的な断熱温度減率を−0.65℃/100mだと仮定します。この時、地表面の気温は次の通りです。
気温≒−48℃+(−0.65℃/100m)×(−12,500m)≒33.3℃
更に、乾燥した大気の場合、断熱温度減率は−0.65℃/100m〜−0.98℃/100mの間の値になります。ここでは仮に−0.70℃/100mとして試算してみます。
気温≒−48℃+(−0.70℃/100m)×(−12,500m)=39.5℃
このように、乾燥した背の高い高気圧に覆われた地域は高温になるのです。
以上が今年の西日本の異常な暑さの直接的な原因です。ではどうして西日本に安定した勢力の強い背の高い高気圧が居座り続けたのか…、これが本質的な原因ですが、これはたまたま地球大気のバランスがそのようになったとしか言えないところです(笑)。ただし、例年よりも太平洋高気圧が勢力の強い背の高いものになった理由はある程度説明がつきます。
日本の夏は太平洋高気圧で代表されます。低緯度の海面上で加熱され、同時に水蒸気を大量に含んで軽くなった大気は強い上昇気流となって上昇します。赤道付近の海面は赤道低圧帯になります。
上昇した大気は断熱膨張し露点以下に冷却されることで大気から水が凝結して取り除かれます(降雨)。水が凝結するときに放出される潜熱によって大気は加熱されることで更に上昇します。その結果、赤道付近上空は高緯度側上空に比べて対流圏が高空まで広がっています。その結果、赤道付近の上空では海面とは逆に低緯度側の気圧のほうが高緯度側よりも高くなるため、赤道付近で上昇した大気は対流圏上層で高緯度側に吹き出します。

赤道付近上空の対流圏上層で高緯度側に吹き出した極方向の気流は、地球の自転の影響で次第に西寄りの風となり(Subtropical
jet=亜熱帯ジェット気流)、北上できなくなり、冷却されて中緯度付近で下降します。そこにできるのが太平洋高気圧を含む中緯度高圧帯(亜熱帯高圧帯)です。
太平洋高気圧が強くなる一つの要因は、フィリピン沖の赤道から低緯度の海面水温が高くなり、上昇気流が強くなることです。一般にラニーニャが発生して貿易風が強くなるとフィリピン沖の海面水温が高くなり、太平洋高気圧が強くなり、日本は暑い夏になります。今年はラニーニャは発生していないようですが、多少その傾向が出ているようです。これだけであれば、少し暑い夏程度であったかもしれません。

出典:農業温暖化ネット
今回の猛暑の説明で登場したのが『チベット高気圧』です。チベット高気圧は通常の地表面の天気図には見られない高気圧です。むしろ熱せられたチベット高原は低圧帯になります。チベット高原の標高は4500m程度であり、太陽放射で暖められた地表付近の大気は周囲の同じ高度の大気よりも暖められ膨張します。これによって上昇気流が生じ、赤道低圧帯と同じように、大気上層では対流圏界面が押し上げられ気圧が高くなります。この対流圏上層にできる高気圧がチベット高気圧です。

上図は今日の午前0:00の200hPaの等圧面を示した高層天気図です。対流圏界面は、温度減率によって定義されていますが、概ね200hPaを示す等圧面の高度が対流圏界面の高さの目安になります。図に太い実線で示しているコンター・ラインは120m間隔で示した200hPaの等圧面の標高を示しています。
これを見ると、亜熱帯ジェット気流が日本付近で大きく南に蛇行し、その南側に200hPaの等圧面が島状に12,480mを超えている部分(桃色で着色した部分)が広がっています。これがいわゆるチベット高気圧と言われる対流圏上層の高圧部分です。チベット高気圧が東西方向に広く広がり、西日本上空を覆っていることがわかります。
今年の夏は太平洋高気圧の中心が西日本にとどまり続けていました。その太平洋高気圧に例年よりも大きく東に広がったチベット高気圧が乾燥した温かい大気を送り込んだために、太平洋高気圧は例年以上に背が高く強い勢力を持つことになり、その結果日本列島、特に西日本の猛暑が継続したのです。
さて、昨日辺りから太平洋高気圧の中心は東の太平洋海上に移動して、西日本は太平洋高気圧の周辺部分になってきました。そのおかげで、多少風が吹き、雲が空を覆うようになってきました。この辺で一雨欲しいものです。

そろそろチベット高気圧にも勢力を弱めていただき(笑)、移動性高気圧が周期的に日本を通過するようになれば、季節も秋に移行することになります。待ち遠しい限りです。
8月20日に福島県は福島第1原発事故当時に18歳以下であった県民に対する甲状腺がんの発症状況について会見を開きました。まずその記事を紹介します。
朝日新聞DIGITAL 2013年8月20日20時31分
福島の子どもの甲状腺がん、疑い含め44人に 16人増
【大岩ゆり、野瀬輝彦】福島県は20日、東京電力福島第一原発事故の発生当時18歳以下だった子どものうち、44人が甲状腺がんやその疑いがあると診断されたと発表した。6月から16人増えた。県は「被曝(ひばく)の影響は考えられない」とした。ただし、県の検査や説明に対して県民の間に疑問や不安の声もあるため、県は、専門家による新たな部会を作り、検査に問題がないか検証することになった。
6月以降に新たに診断された16人のうち、がんは6人、疑い例は10人だった。累計ではこれまでに結果が判明した約19万3千人のうち18人が甲状腺がん、25人が疑いありと診断された。1人は疑いがあったが良性だった。この44人は原発事故時に6〜18歳。がんの直径は5・2〜34・1ミリ。がんは進行のゆっくりしたタイプだった。
事故後4カ月間の外部の全身被曝線量の推計調査を受けた人は44人のうち4割だけだが、全員2ミリシーベルト未満だった。
チェルノブイリでは4〜5年後から甲状腺がんが増えたほか、今回の44人は複数回の検査でがんやしこりの大きさがほとんど変わっていないため、県は「事故以前からできていたと考えられる」と分析した。
しかし、県民の間には被曝影響に関する解釈や、検査の精度、情報公開のあり方などに批判がある。
このため県は、検査に関与していない専門医らによる専門部会を新設して、これまでの検査結果の判定や、がんと診断された人の治療、事故による被曝の影響などを改めて検証する。事故当時18歳以下だった約36万人に対し生涯にわたり継続する甲状腺検査のあり方も改めて議論する。
これまでも福島県をはじめとする“専門家”の認識は、検診によって確認された甲状腺がんは福島第1原発事故による放射線被曝の影響ではないと説明しています。その理由は、甲状腺がんの成長は遅く、チェルノブイリ原発事故では事故の影響と思われる甲状腺がんの増加は事故後4〜5年後から顕在化してきたというものです。たしかにこの説明にも一理あるように思えます。
しかしその一方で、通常の生活環境における小児甲状腺がん(14歳以下)の罹患率は10万人あたりで0.05〜0.1人/年程度といわれています。年代による罹患率の変化を無視すると、この罹患率で18歳以下の10万人あたりの甲状腺がん罹患者数を単純に積算すると以下の通りです。
{(0.05〜0.1)×18+(0.05〜0.1)×17+…+(0.05〜0.1)×1}÷18
=(0.05〜0.1)×(18+17+16+15+14+13+12+11+10+9+8+7+6+5+4+3+2+1)÷18
=(0.05〜0.1)×9.5=0.475〜0.950(人/10万人)
これに対して福島県の罹患者数は調査した累積人数19万3千人に対して44人、10万人あたりに換算すると22.8人になります。これは通常環境における甲状腺がんの罹患者数に対して約24〜48倍の値になります。
数%の誤差ならばいざしらず、通常環境の24〜48倍の罹患者数となれば、調査対象者の集団には何らかの特殊な条件があると考えるのが自然だと考えます。その特殊な条件の一つが放射線被曝であることは否定しがたい事実です。
現在福島で行なわれている甲状腺がんの検診とは、福島第1原発事故による放射線被曝の影響を追跡することが主要な目的です。専門家が言うように、現在の福島の検診結果=通常の小児甲状腺がん罹患者数の数十倍の罹患者数を示す福島の検診結果が放射線被曝の影響ではないと主張するのならば、“放射線被曝以外の特殊条件”を定性的・定量的に特定しておかなければならないでしょう。このままでは検診を継続しても放射線被曝による影響を把握することは出来ません。
また、放射線被曝の影響がないというのならば、日本の中で福島事故の影響がないと思われる地域において同程度の集団をサンプルとして比較調査を行ってみればよいだけの話です。
少なくともこの程度の比較調査を行った上で、初めて『現状では福島第1原発事故による放射線被曝の影響で小児甲状腺がん罹患者数が顕著に増加している兆候はないように思われる』というべきところでしょう。通常の小児甲状腺がんの罹患者数の数十倍の値を示している福島の検診結果を、合理的な理由も示さずに福島第1原発事故の影響でははないと言われても、とても納得できるものではありません。
相変わらず福島第1原発事故処理における東電の無様な対応が続いています。放射性物質に汚染された冷却水の貯蔵タンクの接合部からの大量漏洩がまた発覚しました。タンクからの汚染水漏れはこれまでにも何度も報告されており、その後一体どのような点検を行い、どのような安全確保のための処置を行ってきたのか…。このような単純な事故を繰り返す東電には全く学習能力がなく、原子力発電所事故を収束される技術も、危機管理能力もないことは最早明白です。このような無能な連中に原子力発電を再稼働させていいはずはありません。
まずはIndependent Web Journalの記事を紹介しておきます。
IWJ Independent Web Journal
2013/08/19 東京電力 記者会見 17:45
2013年08月19日(月)17時45分頃から、東京電力本店で定例記者会見が行われた。免震重要棟前の連続ダストモニタで再び放射能濃度「高高」警報が発生し、作業員2名が身体汚染された。H4タンクから、表面線量率100mSvの汚染水が推定120リットル以上漏洩した。
■■
増加する地下汚染水の水位を下げるため、1-2号機建屋間の海側に設けたウェルポイントと呼ばれる井戸から、地下水をくみ上げている。当初計画で後5個の井戸を掘削する予定と発表。地下水くみ上げの効果が表れるまで、しばらく様子を観察すると東電は述べた。
■■
これまでの定例記者会見で持ち帰り確認項目となっていた、下記質問に回答した。
――ウェルポイントからくみ上げた地下水の分析調査について
「地下水位の確認を行う。放射能濃度や塩分濃度の分析はまだ行っていない」
――タービン建屋の耐震性の評価について
「3.11と同程度の地震にも耐えられる。地下水位が上昇しているため、液状化のリスクは大きくなっているが、建屋自体には影響はない」
――発電所敷地内4m盤は70cm地盤沈下したが、他の10m盤などはどうなっているか
「東北地方全体が沈降しており、発電所付近では敷地全体が70cm程度沈下したと考えている。建屋が傾くような不等沈下はない」
――サンプリング採取した魚介類はの分析後の処理方法は
「水産庁の研究機関に引き渡している。魚介類の核種分析は、採取後体表面の線量を測定、高い個体から順に分析している」
■■
先週から今週にかけての週末に、H4タンクからの汚染水の漏洩、免震重要棟前の連続ダストモニタで再び放射能濃度「高高」警報が発生し、作業員2名の身体が汚染される事案が発生した。
パトロール中にH4タンク堰のドレン弁から水が出ていることを発見、ドレン弁を閉操作した。2カ所のドレン弁からの漏れを発見、堰の外に水たまりができており、それぞれ約90リットル、約30リットル、水たまりの表面線量率はγ+βで100mSvと非常に高濃度であり、H4タンクからの漏洩が疑われる。
しかし、タンク堰の中にも水がたまっており、高濃度のため、処理しないとタンクの詳細調査はできない状態だという。したがって、ドレン弁を通してタンク堰の外にはもれていない。しかし、今もタンクから堰へ漏れ続けてているかもしれない状態である。早急な対処が必要だが、東電は先ず(タンク堰にたまっている)水の処理が先決と述べるにとどまっている。
さて、この漏洩に関し、東電の説明に納得のいかない点があり、記者の質問も集中した。
つまり、タンクから漏洩した汚染水が流れ出し、土中にしみこまないように、タンク下部はコンクリート舗装し、堰を設けている。H4タンクもそのような構造になっている。しかし、露天のため、雨水が溜った場合、少量の漏洩を見逃す恐れがある。そこで、堰のドレン弁を設け、常時開けている。雨水が堰の中にたまっても、ドレン弁から周囲へ流れ出し、堰の中は水のない状態になるというわけである。
では、実際にタンクから漏洩した場合はどうなるか、発見したなら直ちにドレン弁を閉めるという。発見されるまでは周囲へ漏洩することになる。漏洩汚染の防止という観点からは、ドレン弁は「常時閉(Close)」が望ましいと思う。
何人もの記者がこの点を質問したが、東電は「常時開(Open)」で運用していると回答している。疑問の残る運用手順である。
■■
免震重要棟前の連続ダストモニタで、先週12日に続き、再び放射能濃度「高高」の警報が発生し、バス待ちをしていた作業者2名の身体が汚染された。汚染濃度は、それぞれ13.7ベクレル/平方センチ、除染後、WBC(ホールボディカウンター)で内部取り込み無しを確認している。ミスト発生装置は、8月12日以降していないため、他に汚染源があることは間違いない。
最初にダストモニタ警報、身体汚染が発生した時、現場周辺の駐車車両などの調査や広範囲なダスト調査、汚染調査などを行うことなどを計画していることを発表したが、本日の質疑回答で、何ら手をつけていないことが分かった。作業員の人命を軽視する東電のお家芸が垣間見えた。
■■
地下水の汚染に関し、興味深い質問が記者から出された。
福一敷地の地層は、地上から順に透水層、不透水層、透水層となっている。現在の地下水観測孔や水ガラス遮水壁は、上部の透水層にとどまっている。下部の透水層までボーリング調査する必要はないのか、と記者が質問した。東電は今回は深度16メートルより浅い所、すなわち上部の透水層の調査を行う、と的を外した回答をした。
原子力規制委員会の指示に従って調査、汚染水対策を行っており、必要があれば委員会から指示があると回答。下部透水層を調査しないのは、委員会の責任だと言わんばかりだ。
また、建屋は岩盤の上に直接乗っているという。建設工事中の振動や、建屋は100トン近く、その重量物が地震で揺さぶられた際、岩盤にヒビが入り、水の通り道になっている可能性について質問すると、東電は「ご意見としてうけたまわる」と人を食った回答。
更に敷地内の不等沈下の可能性について、詳細な調査を行ったのか質問すると、3.11大地震で起こったことは、もっと大きなスケールのことだ、と回答した。
いずれも、今の事態への責任感も、今後の想像力もない回答ではないだろうか。
これが19日の東電の会見の概要です。この会見を受けて、新聞やテレビのニュース報道は汚水貯蔵タンクから120リットルの高濃度の放射性物質汚染水の漏洩があったというトーンで第一報が流れました。
しかし、会見の内容を見ると状況は随分違うことがわかります。貯蔵タンクの下は、タンクから汚染水が漏洩した場合に地中に浸透しないようにコンクリートが張られ、また周囲に広がらないように堰が巡らされています。堰には雨水を流すために弁が設けられていました。

タンク周囲に巡らされた堰と弁
しかし会見から、この堰と弁の構造、運用に本質的な欠陥があることがわかります。タンク群は野ざらしであるため、雨が降れば堰に囲まれたコンクリート版は雨水プールになってしまいます。雨水とタンクからの汚染水が構造的に分離できないのです。
そこで東電の現場では、『基本的にタンクからの漏洩は起こらない』という極めて楽観的な前提で、雨水を排水することを優先して、堰に設けられた弁は常時開放で運用されていたというのです!これによってコンクリート版上は常時基本的に乾燥した状態となりますが、汚染水が漏洩した場合にも監視員が汚染水の漏洩を確認するまでは汚染水は周囲に垂れ流されていたのです。
今回の事故は、免震重要棟前の連続ダストモニタで放射能濃度「高高」警報が発生し、作業員2名の身体が汚染される事案が発生したことによって初めてタンクからの汚染水の漏洩が発覚し、その段階で初めて弁が閉じられたということです。弁を閉じた時点で、堰の外側に高濃度汚染水の水たまりがあり、その量が合計で120リットル程度であったということです。この状況を見れば、実際に漏洩して周囲に流失し、あるいは地中に浸透した汚染水の量は120リットルよりも遥かに多いことは当然予想されていたのです。
この放射性物質汚染水貯蔵タンクシステムの汚染水漏洩に備える構造・運用のバカバカしさには呆れ果てるばかりです。せっかく堰を設けていながら、常時弁を開放しているのでは堰の存在は全く無意味です。化学物質のように希釈すれば毒性が消えるようなものならばいざしらず、放射性物質の毒性は濃度による閾値がないのですから、できるだけ拡散しないように閉じ込めることが大原則であり、当然ながら雨水による希釈が発生するような構造はとってはならないのです。タンク群には何らかの屋根構造を設け、タンクからの漏洩汚染水から雨水を分離して処理する別系統の排水設備を設ける必要があったことは当然です。
その後この事故に対する報道は2転3転することになります。翌20日の会見で、東電は貯水タンクから漏洩した汚染水の量を300トン程度に訂正しました。その報道を次に示します。

汚染水漏洩事故の最初の報道の翌日には漏洩した汚染水の量が120リットルから300トンヘと大幅に上方修正されました。この段階では、漏洩した汚染水の行方について詳細な調査・検討を行っていなかったにもかかわらず、またしても、「海への流出はない」という東電の希望的な観測に基づく裏付けのない見解が述べられました。
ところがその翌日21日の会見では、前日の見解を覆すことになりました。

このように、東電には原発事故収束を行う技術的な能力・システム運用における危機管理能力、そして経験に学ぶ学習能力すら無いことが最早明確です。
電力各社のトップに君臨してきた東京電力の技術レベル・事故対応能力でさえこの程度です。その他の電力会社の技術レベルも推して知るべしです。このような無能な日本の電力会社に対して、原子力発電の再稼働を認可することなど許されないことです。ましてこのような原子力発電システムを海外に販売するなど、常識的に考えれば言語道断です。
福島第1原発事故処理において、東京電力には技術的な事故処理能力がないばかりでなく、事故処理費・被災者に対する賠償費などの経済的な支払能力もありません。福島第1原発事故の処理は最早国家の責任のもとに遂行するしか無いことは誰の目にも明らかです。ただし、その前提として、東京電力の全原子力発電所は廃炉にし、原子力発電所以外の発送電設備、資産はすべて売却した上で売上金は全て国庫に納め、東京電力を解体しなければなりません。
福島第1原発事故の処理は今後極めて長期間を要することになります。一方、原子力発電が縮小されることになれば、最も懸念されることは原子力発電の事故処理やバックエンド処理に携わる有能な技術者が枯渇することです。国は政策的に原子力発電の後処理に携わる技術者を組織的・継続的に育成するための大学などの養成機関を早急に作ることが必要です。原子力発電の後処理に携わる学生に対しては、電力各社、原子炉製作に関わって利益を享受してきた重電・重工メーカーなどは条件なしの奨学制度などを創設して協力すべきです。
東京電力を残したまま、国が福島第1原発事故の処理を肩代わりするようなことは断じて許されないことです。福島第1原発事故の処理を出来る限り適切に処理することは必要ですが、まず東京電力の責任を明らかにし、きっちり責任を取らせた上で初めて、国費の投入が許されることを銘記しなければならないと考えます。
歴代保守党政権、そして殊に安倍政権では、『日本以外の独立国家において軍隊を持たない国は稀有であり、日本も軍隊を持つべきである』という、一見もっともらしい主張が行なわれています。確かに、世界の独立国家において軍隊を持つ国が圧倒的な多数です。その意味で日本は特殊な国家であることは間違いありません。
しかし、日本は明治以降、数々の(侵略)戦争を繰り返し、第二次世界大戦では敗戦国となり、原子爆弾の実験場にされた経験とその反省から戦争の愚かさを知り、敢えて軍隊を待たず、国際紛争の解決において軍事力に頼らない平和主義国家という前衛的な国家を作ることを決意したのです。その意味で、特殊であることは当然であり、特殊であることを理由に再軍備に向かう口実にするなどというのはお門違いの主張です。
平和主義国家で軍事力による国際紛争の解決を放棄した日本は、いくら国連の下の“平和維持活動”であろうと米国をはじめとする軍事国家と一緒になって軍事力によって協力する必要などないのです。むしろ軍事介入を戒め、話し合い解決の道を探ることを先導する事こそ日本に課せられた任務だと考えます。国連に協力するために軍事力・交戦権が必要などというのは愚かな主張です。
結局、安倍をはじめとする好戦的な保守政治家の考えとは、『前大戦では圧倒的な軍事力を持つ米国を敵に回して敗戦国となったことだけが誤りであったのであり、それを教訓として、米国と強固な軍事同盟を組むことによって“勝ち組”の仲間入りをして、かつて果たせなかった東アジアにおける覇権の確立を実現しようと目論んでいる』ということです。
安倍政権の軍国化への動きについて、憲法改定あるいは解釈改憲による集団的自衛権の合法化などの法制度からのアプローチは既に紹介してきました。ここでは自衛隊の装備というハード面からの軍国主義化の動きをみておくことにします。
中期防衛力整備計画(H.23〜H.27)において、おそらく集団的自衛権の合憲化を見越したとみられる、周辺地域への自衛隊の展開能力の強化が目につきます。
特徴的な点を二つ。
一つは、尖閣諸島・竹島を念頭に、辺境島嶼地域への自衛隊の展開能力の増強を口実とする米国海兵隊的な周辺地域への自衛隊の迅速な展開能力の獲得がみられることです。これまでの自衛隊では日本が攻撃を受けた場合の国土防衛が目的であったため、周辺地域への自衛隊の展開能力は敢えて重視していませんでした。その象徴は海上自衛隊では空母を保有しなかったことです。ところが中期防では米国海兵隊的な周辺地域への自衛隊の迅速な展開を重視しています。その中で、ヘリコプター搭載護衛艦(DDH)という、実質的な航空母艦の保有を重要課題としています。1番艦は「いずも」であり、いずも型護衛艦とも呼ばれています。
進水したヘリコプター搭載護衛艦『いずも』
このヘリコプター搭載護衛艦の導入に対して中国をはじめとするアジアの周辺諸国は神経を尖らせています。

垂直離着陸戦闘機「ハリアー」
ヘリコプター搭載護衛艦と言っても、垂直離着陸戦闘機(VTOL機)あるいは短距離離陸垂直着陸戦闘機(STOVL機)を積載すれば即座に攻撃型の航空母艦として運用可能なのは明らからです。
世界の航空母艦の比較
そしてもう一つの特徴が、遠隔操作による無人機械の導入です。まずは島嶼地域の偵察用に無人偵察機の導入が考えられているようです。防衛省はこれに沿って来年度予算の概算要求で、高高度滞空型無人偵察機グローバルホークを導入する費用を計上する方針を固めました。

無人偵察機「グローバルホーク」
軍備の無人化は、いずれ無人の殺人兵器、例えば米軍のプレデターのような殺人機械の導入に向かうでしょう。こうした遠隔操作の殺人兵器の導入は、自国兵士の人的被害の心配が無いために、戦闘行為へ安易に踏み切る可能性を高くし、戦闘行為による殺人に対する現実感を喪失させ、人命に対する倫理観の喪失に向かうことになるでしょう。テレビゲーム感覚で敵兵士を殺戮する、グロテスクな現実が目前に迫っています。若者たちはシューティングゲームの延長線上で敵兵を狩るようになるのでしょうか…。なんとおぞましい世界でしょうか。
福島第一原発の事故処理の経緯を見るにつけ、一体何をやっているのだろうと首を傾げたくなる出来事=事件が止めどなく繰り返されていることに、とてつもなく不安になります。この数十年間で平均的な日本の技術屋の本質的な能力は著しく低下していると考えざるをえません。
今の社会の風潮は、情報・通信技術あるいはそれを基礎としたメカトロニクス、あるいは新規技術=新奇技術の普遍的な浸透を以って『科学技術の進歩』と勘違いしている様です。残念ながら、技術の本質的な優劣の判断能力が欠如してしまった片端の技術屋が粗製乱造されているようです。
その根源は日本の初等中等教育における理科教育の誤りにあります。教育現場では情報通信機器を導入することが先進的な教育だと勘違いして、情報通信機器メーカーに踊らされて“カモ”にされています。情報通信技術などというものは、所詮道具に過ぎず、その進歩と科学の進歩には何の関係もないことが理解されていないようです。情報通信技術の進歩とは機械の微細化技術以外に何の本質的な革新性はありません。
“自称研究者”諸君も、巨大コンピューターを使ったシミュレーション=先端的な研究であると勘違いしている始末です。
例えば、火力発電代替技術としての太陽光発電や風力発電をはじめとする“新エネルギー”の導入や、福島第1原発事故の地下水漏洩を止めるために導入されようとしている土壌凍結工法の使用などが、本質について考える能力を失った技術者の質の低下を端的に示しています。
福島第1原発事故処理の過程で今後、数十〜数百?年間にわたって放射性物質に汚染された水の流出を止めるべき遮水構造に対して、土壌の冷却凍結工法という、工事途中に用いられる一時的な地盤安定化にしか実績のない仮設工法を用いるなど、信じられない愚行です。この件について、リンクサイトである「阿武隈裏日記」において鐸木能光さんが文章を書いています。
「普通に考えれば」永久凍土式遮水壁はありえない ― 2013/08/09
12:00
1Fの地下水汚染問題で、鹿島などは「凍土型遮水壁」(⇒経産省サイトのPDF ⇒東電サイトのPDF)などという提案をしているが、これはあまりにも非現実的で費用対効果が低い「机上の計画」だと思う。
この計画は、簡単に言えば、建屋の周辺にパイプを深く埋めてそこにマイナス40度くらいの冷却剤を入れて土地を永久凍土のようにカチカチに凍らせ、その「凍土」を遮水壁とすることで地下水流入=汚染水増大を防ぐという計画。
言うまでもなく、その冷却剤を長期間維持管理するためのエネルギーは膨大なものになる。
すでに1Fの収束作業に使っている電力だけでも大変な負担なのに、これ以上、効率の悪いエネルギーの使い方をするという発想がどうしようもない。「甘えている」としか思えない。
国から金が出るから、請け負えば儲かるんじゃないか……という発想の延長上に出てきた案にしか見えない。
原子力ムラを構成していた企業が、「フクシマ」以降も、除染やらなにやらで手を代え品を変え税金にたかり続けようとしている。これをやめさせ、本当に合理的な方法を追求しないと、どんどん手遅れになる。
★ついでに言えば、電気を生まなくなっている日本中の原子力発電所の維持管理にどれだけ電気を使っていることか(原発は発電を止めていても炉心や使用済み燃料を冷やし続けなければ暴走する)。これだけでも原発のコストが安いなどというPRがどれだけとんでもない嘘か分かる。
「普通に」考えれば、指針はおのずと見えてくる。
1) 1号機〜3号機の炉心を取り出すなどということはもはや不可能だと結論するべき。近づけないのだから無理に決まっている。燃料を取り出せるのは4号機のみだろう。
2) であれば、チェルノブイリのように石棺方式、あるいはそれに準じた形で「封印」する方法を考えるしかない。再臨界がありえないだけ温度が低くなったのを確認できた後は、いかに封印できるかを考える。そのためにはありとあらゆる手段を検討する。おそらく、ドームスタジアムのようなバルーン屋根の形成と従来のコンクリート、鉄骨による壁の形成、樹脂などによる密閉など、あらゆる方法の併用・複合方式が探られていくことになるはず。
3) 壊れた1〜4号機だけでなく、1Fそのものを孤島のように周囲の環境から切り離すという発想が必要。その方法は、複雑な装置を使ってエネルギーを大量消費する方法ではなく、完成後はなるべく人手や外部からのエネルギーを必要としない単純な土木的処置のほうが望ましい。
4) 1Fからのこれ以上の汚染物質拡散を防ぎ、管理体勢の破綻を防ぐため、周辺の土地で汚染が低い場所は1Fの管理のための作業拠点(資材置き場、作業員のための福利厚生施設なども含む)とする。
富岡町や大熊町の一部などは、汚染が低いところを線引きして「避難解除準備区域」などとしているが、そうした中途半端なごまかしはやめて、1Fの管理に必要な作業拠点区域として国が直接に特別管理していく。つまり、一般住民の帰還はさせないという方針をまず打ち出すべき。いつまでも「いつかは帰れます」などという望みを持たせるようなやり口はやめよ。生活の場を失った人たちには、新天地で新生活を始められるようなバックアップを。
5) 逆に、1F周辺の汚染の高い場所(帰還困難区域など)は、「除染」するのではなく、居住地としてはさっさと諦めて、汚染物質の保管・管理区域として、再飛散、流出を完全に封じ込められる汚染物管理施設を造る。そういう風にしっかり「区分け」していくしかない。
いつまでも「処分場は福島以外に」などという感情論をぶつけ合っているのは愚か。そもそも「処分場」ではない。処分はできないのだから。「仕方ないからそこに集めて管理・監視する」場所。そういう場所が必要なのは自明であり、汚染が薄い場所に持っていったり、拡散させてはいけないことも明らか。
……以上、「普通に」考えればこうではないか? という基本指針の叩き台。
なぜこういう方向に進んでいかないのか?
「素人」から見ると、「専門家」を名乗っている人たちの言動があまりにもすっとぼけていて、目眩がする。
鐸木さんが仰るとおり、専門家でなくても初等中等教育の理科を学んだ“かつての大人”であれば、この凍結工法の採用はとてもまともではないと判断できることです(鐸木さんは私とほぼ同世代ですから、同じような義務教育の理科教育を受けてきたものと思われます。問題は特に最近30年間程度の理科教育にありそうです。)。この件も含めて、福島第1原発事故処理に当たる技術屋諸君の、私などには思いも及ばないとんでもない対応の数々には、鐸木さんならずとも頭がクラクラしてきます。
昨日、嫁さんの伯父と電話で話しました。伯父は石川島造船所?の技術屋で戦中は戦艦の設計に携わっていました。戦後、石川島造船所は石川島播磨重工業(IHI)となり、原子力発電所の建設にも関わってきた日本の代表的な重工メーカーです。
伯父は直接は関わらなかったようですが、IHIは福島第1原発の圧力容器・格納容器の製造に中心的に関わったそうです。あまり大きな声では言えないことですが、「色々な苦労話」があるようです。
その伯父が、福島第1原発事故の収束作業に携わる技術屋のあまりにも無様な対応に呆れ果てているようでした。曰く、「今の日本の社会状況、就中、安倍政権の有り様は、権力に対して耳障りの良いことばかりを言って擦り寄る者、御用学者ばかりが集まり、前大戦に突き進んだ時代を彷彿とさせる」とのことです。
現在の社会状況を見ていると、物言わぬ従順な大衆は再び戦前の過ちを犯す事になりそうです。
さて、長崎の慰霊祭における平和宣言にはまたしても呆れ果てました。日本政府が核拡散防止条約(NPT)再検討会議第2回準備委員会で、核兵器の非人道性を訴える共同声明に賛同しなかったことや、NPT未加盟のインドと原子力協定交渉を再開したことを批判する一方で、米国大統領オバマを持ち上げるという、噴飯物の頓珍漢の評価には開いた口がふさがりません。もっと現実を科学的・論理的に見なくてはなりません。
日本が共同声明に署名できなかったのは、安倍政権が日米軍事同盟を重要視したから=オバマとの関係を重視したからにほかなりません。またインドとの原子力協定を結んだのも、米国がNPTの例外としてインドの核兵器保有を黙認しているからにほかなりません。なんというお粗末なのでしょうか、絶句。

日本では、6月23日の沖縄戦の終結の日を記念する慰霊の日から8月の敗戦記念日まで第二次世界大戦に対する懺悔の季節が続きます。新聞やTVの報道番組、TVドラマでは戦争・原爆の悲劇を題材とする物が大量に流されます。
しかし年を追ってこの季節が増々空疎なものになってきています。この懺悔の季節さえ過ごしてしまえば『禊(ミソギ)』は終わったとばかりに、現実の日本は何でもありの出鱈目な国になりつつあります。殊に第二次世界大戦の亡霊に取り憑かれた安倍極右政権の登場によってその速度は加速しつつあるように見えます。
いみじくも麻生太郎が述べた通り、ナチスドイツ政権は民衆の圧倒的・熱狂的な支持によって民主的・合法的に成立したように、今またこの日本という国は安倍極右政権に圧倒的な支持を与えようとしています。
安倍政権の登場によって戦後日本の平和主義憲法の形骸化、憲法改悪が現実味を帯びて来ました。日本は武器輸出を解禁し、米国との集団的自衛権の行使をも正当化しようとしています。福島第一原発の重大事故の収束作業は全く進まず、状況は増々混沌としているにもかかわらず、原発を再稼働し、核武装のために核燃料サイクルを維持すると石破が公言する始末です。
この時期、例えば広島や長崎の原爆投下による戦死者を慰霊する式典では、唯一の実戦による原爆被爆国日本が全世界に向けて平和を訴える綺麗事の発言が繰り返されます。しかし現実の社会では、日本政府は日米軍事同盟を重視する立場から核兵器使用に反対する声明に参加せず、平然と武器輸出を解禁し、日米の集団的自衛権を肯定して見せます。そんな政府に対して多くの国民が支持を与えています…。
日本の国民は一体何を考えているのか、私には理解不能です。科学性を失った義務教育の初等・中等教育の崩壊によって科学リテラシー不在で、建前と本音という二つに分裂した価値観を持つこの国では民主主義というものが成立しないのかもしれません。
このところ、また東京電力の福島第一原発事故処理にまつわる事件が続いていますので、簡単に整理しておきます。本質的に、東京電力という会社の人命軽視、無責任・事実隠蔽体質が事故後においても全く変わっていないことを示すことばかりということです。東京電力を頂点とする日本の電力会社は福島第一原発事故以前と同様、放射性廃棄物の処理などの重大課題を将来世代に押し付けたまま刹那的な利益を稼ぐことしか考えていないということです。
まず、福島第一原発事故を最前線で掛け値なしに『命を削り』ながら収束作業に携わる現場労働者たちの人権を無視した労働環境を押し付けている実体です。少し古くなりますが、記事を引用しておきます。
作業員1973人が100ミリシーベルト超 福島第1の甲状腺被曝、推計
2013/7/19 21:55
東京電力福島第1原発事故で、放射性ヨウ素を体内に取り込んだことによる甲状腺被曝(ひばく)線量(等価線量)が100ミリシーベルトを超える作業員は、推計で1973人に上ることが、東電の調べで19日までに分かった。
体全体の内部被曝線量が100ミリシーベルトを超えると、がんのリスクが高まるとされる。東電は1973人について、無料で年1回の甲状腺の超音波検査を受けられるようにした。
等価線量は臓器ごとの被曝線量で、体全体の内部被曝量に比べ値が大きくなる。
東電はこれまでに522人の作業員の実測データを世界保健機関(WHO)に報告。WHOが2月に公表した報告書では、このうち甲状腺被曝線量が100ミリシーベルトを超えた作業員は178人だった。
発表などによると、調査対象は東電社員3290人と協力企業社員1万6302人の計1万9592人。甲状腺被曝の実測データがある522人以外は、取り込んだ放射性セシウムからヨウ素の値を推計し、甲状腺被曝線量を評価した。〔共同〕
この共同通信の配信記事の『等価線量は臓器ごとの被曝線量で、体全体の内部被曝量に比べ値が大きくなる。』という一文は、これまでの発表である178人という数字とかけ離れた1973人という数字を東電側に立って擁護しようとしているふしがありありと感じられます。また内容的にも間違っています。簡単に放射線量についておさらいしておきます。
放射線量
放射線量とは、1kgの物質が放射線から吸収するエネルギー量(吸収線量)のことで、単位はGy(グレイ)で表し、1Gy=1J/kg(ジュール/キログラム)である。放射線には種類があり、同じエネルギー量であっても人体に与える影響が異なる。放射線量に放射線の種類ごとの影響の大きさを加味した値を等価線量といい、Sv(シーベルト)という単位で表す。
等価線量=吸収線量×放射線荷重係数
さらに、放射線に被曝する部位や臓器ごとの影響を個別に評価して、それを全身に対して積算した値を実効線量と呼び、被曝管理に用いる。単位は等価線量と同じSvである。
実効線量=Σ(吸収線量×放射線荷重係数×組織荷重係数)
(出典:「電力化亡国論」2012年、不知火書房、p.63)
放射線荷重係数の実際の値は次の表の通りです。

さて、この記事で問題にしているのは放射性ヨウ素は131Iであり、β崩壊する半減期が8.1日の短寿命の放射線核種です。β崩壊で放射される放射線はβ線つまり電子ですから、放射線荷重係数は1です。故に、131Iによる被曝量であれば、実測値であろうと等価線量であろうと値に変わりはないということです。
さらに、臓器ごとの線量を全組織で積算するのは実効線量であって、等価線量ではありません。

臓器ごとの組織荷重係数の総和は1.0ですから、実効線量の総和が等価線量を超えることはありません。相変わらず報道機関の無能ぶりには付ける薬がないようです。
いずれにしろ、今回の報道から、事故初期において放射性ヨウ素131Iの崩壊によって等価線量で100mSvを超える被曝をした労働者数は、公式でも2000名近くにのぼり、残念ながらこの大多数の方には放射線被曝による身体症状が発現する可能性が極めて高いということです。
次に原子炉からの高濃度放射能汚染物質の流出の問題です。既にこのコーナーのNo.873(2013/07/11)参議院選挙の争点@福島第一原発とエネルギー政策でも紹介しましたが、その続報です。

これまでは、観測井戸で高濃度汚染水が見つかったが、海洋への流出はない(確認されていない)としてきたわけですが、常識的にそんな馬鹿なことはあり得ないのは当然です。原子炉圧力容器、格納容器が破損し、原子炉建屋の外にまで汚染物質が流出していることは事故直後からわかっていたわけであり、その後根本的な対策をとっていないのですから、放射性物質が流出し続けていることは当然すぎることです。
しかも海洋への流出を公式に認めたのが参議院選挙直後の7月22日というのも姑息としか言いようがありません。
さらに続報です。

記事からわかるように、事故から2年半が経過しても、原子炉建屋周辺地下水の放射性物質による汚染レベルは全く低下していないということです。ほとんど底の抜けたバケツ状態のところにジャバジャバ水をかけても一向に放射能レベルが下がっていない、つまり原子炉から引き続き放射性物質が垂れ流されているということです。
少なくとも最初の放射性物質の高濃度の海洋流失が確認された段階で、原子炉建屋を取り囲むようなバリアーの建設に即刻着手していれば、このような事態になることは避けられたはずですが…、何とも口惜しい限りです。

●2013年7月25日0:00〜
●時論公論『海洋パワーと日本のエネルギー戦略』
●出演 室山哲也 解説委員
もうこのコーナーのレギュラーである新技術オタク・NHK解説委員室山哲也の登場です(笑)。
番組では、日本の排他的経済水域面積が世界第6位であり、そこに含まれる利用可能な自然エネルギーの量は莫大であると言います。番組では4兆5000億kWh/年という数値を出していますが、こんなものは全くの画餅に過ぎません。

利用可能な自然エネルギーの内訳は、94%が風力というのですから、もうこれは話しになりません。

風力発電は陸上においても、最新のガスタービン・蒸気タービン複合火力発電に比較して『エネルギー産出比が低い=鉱物資源だけでなく石油などのエネルギー資源の消費も大きい』低効率の発電装置です。しかも、絶えず変動し制御不能な風力発電のクズ電力を使用するためには莫大な付帯設備や広域で電力を融通しあうための超高電圧・大容量の送電ネットワークの新設が必要になり、エネルギーコストは絶望的に高くなります。
このような発電装置を、さらに洋上に設置する(着底式と浮体式がある)事になれば、初期エネルギーコストはさらに上昇することは検討の余地がありません。そればかりではなく洋上という厳しい環境条件に曝された風力発電装置の劣化は陸上の比ではなく、ランニングコスト・メンテナンスコストも膨れ上がり、耐用年数もはるかに短くなります。つまり実用的に使い物にはなりません。
脳天気な室山くんには付ける薬がないようです。
日本の選挙をダメにしている一つの要因が、マスコミによる愚かな報道です。日本のマスコミの選挙報道の主眼は各候補者・政党の政策をいかに有権者にとってわかりやすく伝え、あるいは評価するかではなく、選挙の当選者数の予測あるいは、いかに早く当確を出すかです。なんと馬鹿なことでしょうか。投票が終了して翌日には当選者は確実に決まるというのに、たかが数時間早く当選確実の予測を出すことに何の意味もありません。
さらに重大な誤りは、投票以前の早い時期に議席数の予測を出すことによって有権者の無力感を大きくすることです。こんなことばかりしていれば、益々有権者の国政選挙に対する関心を薄れさせ、主権在民の形骸化が進むことになるでしょう。現在のマスコミの選挙報道のあり方は、正に亡国の所業です。
安倍自民党の経済政策は、短期的なお祭り騒ぎと、無節操な経済膨張主義です。今は無茶苦茶な金融緩和と財政出動によって短期的に経済指標を好転させることによって国民の目を欺いているだけです。実質的な経済政策は、なりふり構わず大企業の儲けを大きくすることに尽きます。TPPに参加することで農業を犠牲にしてでも自動車を中心とする輸出大企業を儲けさせ、福島第一原発事故をまともに収束させる技術もないのに“世界で最も安全な原発”を戦略的輸出産業として国家ぐるみで発展途上国に売り込む…、挙げ句の果てには兵器を売りさばく西欧諸国同様の死の商人になることを目論んでいるのです。なんと無節操な経済政策でしょうか。
参議院選挙の争点としての経済政策は、あまりにも無意味なのでこれ以上検討するつもりはありません。以下、現在の日本の経済構造について、私見を簡単に述べておくことにします。
近年、世界市場における経済競争力を担保するためという名目で、かつての大財閥のような大企業グループが再び形成され、これが肯定的に捉えられています。日本の大財閥は江戸期の大商人に始まり、明治維新の殖産興業・官営工場の払い下げなどの過程によって形成され、この巨大資本グループはいわゆる政商として政権と癒着しながら暴利を貪り、やがて侵略戦争に向かう一つの要因となりました。
近年の巨大企業グループの形成が再び侵略戦争に向かうかどうかはわかりませんが、巨大企業グループが国や政治家と一体となって、国家の在り方を自らに都合の良いように変えていこうとしていることは明らかです。安倍晋三は米国張りに海外遊説に大企業グループのトップを同行し、国自らが大企業のセールスマンとなってトップセールスを得意げに行なっています。
何を言おうが、TPP、法人税率引き下げ、消費税引き上げ、労働市場のさらなる流動化、無節操な規制緩和は大企業をいかに儲けさせるかということにつきます。労働者は単なる労働力として捉え、労働者個人の生活などどうなっても構わないというのが本音です。
安倍自民党の経済政策は、相も変わらぬ工業生産に頼った経済膨張主義であり、短期的に如何に経済を大きくするかということだけしか考えていません。これについてはみんなの党、維新の会、民主党も大した違いはありません。中でも自民党の経済政策は最悪といってよいでしょう。短期的にはいざしらず、日本の国家としての産業構造を考えた場合、輸出産業を中核とした産業構造ではいずれこの国は立ち行かなくなります。今世紀の最大の戦略的な物資とは農林水産物になることは疑う余地はありません。基本的な農業生産基盤等を工業製品の輸出と引き換えに海外に売り渡してしまうTPPは正に亡国の経済政策です。嗜好品である高級農産物を生産することと、日々の食を守ることとは全く別の問題です。
地球規模の農林水産業、鉱工業の生産能力の限界を見据えて、無駄を省いて経済規模を縮小し、その中で自然環境との安定した循環構造をいかに構築し、限られた資源で国民の安寧を実現するか、という視点から国の形を根本的に考え直す時期にきている、というのが現在です。
安倍晋三は、高い支持率を背景に、前大戦のA級戦犯であった祖父岸信介の『悲願』である憲法改正に着手しようとしています。安倍自民党の憲法改正の主眼は、日本を再び実戦の出来る国にすることです。
具体的には現憲法で放棄した交戦権を復活させ、自衛隊を明確な軍隊であることを内外に示し、米国との集団的自衛権の行使を可能にすることです。戦争を遂行するためには、公益の名の下に思想信条の自由・結社の自由・表現の自由は制限できるとしているのです。正に前大戦で敗戦を経験し、戦争の反省から打ち立てられた平和主義と国民主権の日本の在り方を180度変えようとしているのです。
安倍自民党政権のもとでまとめられた新防衛大綱では、自衛隊に海兵隊機能を充実させるという記述があるようです。これは、当面は竹島や尖閣諸島における領有権問題を睨んでの島嶼地域の防衛能力を高めるためとされていますが、憲法改正を睨んで、長期的には米軍海兵隊の補完部隊として海外への緊急的な軍事力の展開を目指していることは想像に固くありません。

安倍内閣は、高い支持率を背景に憲法第96条の先行改憲のみならず、改憲の本丸である憲法9条の改定と自衛隊の国防軍化を鮮明にし始めました。
安倍自民党や維新の会などの憲法9条改憲勢力は、『平和を守るためには軍事力を持つことが必要』だと主張します。なんと非論理的な主張でしょうか!!軍事力を持ち、実力によって国土を守るということはすなわち、戦闘行為を行い、殺し合いをすることです。実力を行使した段階ですでに平和は失われているのです。
国民、特に若い皆さんは、戦場で実際に殺し合いのための駒になるのは自分自身なのだということを認識して欲しいと考えます。
この参議院選挙において、安倍自民党は単独過半数ないし、改憲勢力で2/3を目指すことで、実質的に国政におけるフリーハンドを得ることを目的にしています。既にこのHPの記事『安倍政権の政策を考える@〜』で検討してきたように、安倍政権は戦前回帰のアナクロニズムの危険な体質を持っています。アベノミクスなどという表向きの短期的なお祭り騒ぎに浮かれていると、大変なところに連れて行かれることになります。
今回は、憲法問題と同時に参議院選挙で最大の争点である原子力政策に関連して、最近の福島第一原発事故を巡る情勢についてまとめておきます。
福島第一原発を受けて作られた日本の原子力発電に対する新規制基準が7月8日に施行されると同時に電力4社が安全審査請求を行いました。

しかし、冷静に考えてみてください。福島第一原発事故は未だその原因の究明すらまともに行なわれておらず、事故処理については全く暗中模索の状態であり、刻々と変わる事故現場の状況に対して対症療法=泥縄式で対処している状態であり、しかも事故対応は失敗続きです。
このような状況で、重大事故が起こることを考慮した原子力発電に対する安全基準が制定されるということ自体が非科学的と言わなければなりません。安倍はこの安全基準について『福島第一原発事故を経験した日本だからこそできた世界最高水準の安全基準』などと吹聴していますが、正に噴飯物です。目の前の事故にまともに対処できていないのに、そんな連中が何を言おうと画餅に過ぎません。
少なくとも、福島第一原発事故の本質的な科学・技術的な原因究明を行い、重大事故が起こった場合の事故処理技術が確立されるまで(おそらく100年のオーダーが必要でしょう)は、原子力発電の再開・新規認可を凍結することが、事故を起こしたシステムに対する一般的な対応です。
原子力発電に対する今回の新安全基準の制定と安全審査の開始は、電力会社の刹那的な経済的救済だけを目的としたものであり、科学技術的に見てあまりにも拙速で出鱈目な対応です。
そればかりではありません。原子力発電の運転再開は経済的に見ても全く非合理的な判断なのです。原子力発電において重大事故が起こりうるにもかかわらず、強引に原発を再稼働させるというのならば、今後原子力発電所が重大事故を再び起こした場合、その社会的な損失に対して電力会社はその経済的な負担を全て自前で支払う能力を担保することが最低の条件となるからです。
福島第一原発事故までは、日本の原子力発電所は重大事故は起こさないことを前提に運転されていましたので、『予期出来なかった重大事故の発生』に対して緊急避難的に国庫から税金を大量につぎ込むことが許されてしまいました。事故による人的・社会的損失に対する保証は全く不十分ですが、損失補償、除染、原子炉の事故処理等には、おそらく国庫から10〜100兆円オーダーの資金投入が必要になるでしょう。
この福島第一原発事故を経験し、原子力発電は重大事故を起こしうることを前提に、それでも電力会社は経済活動として原子力発電を再開しようとしているのですから、重大事故が起こった場合の事故処理において、最早、国庫からの経済的な救済には何の合理性も存在しません。電力会社自身に重大事故による人的・社会的な損失を回復し、事故を完全に処理するだけの経済的な資金を確実に支払える備えがない限り、原子力発電を容認してはならないのです。
果たして民間企業である電力会社に事故処理引当金として10〜100兆円オーダーの資金を準備することが可能でしょうか?それだけの資金を準備しても尚、原子力発電電力が安価な電気などといえるのでしょうか?まともに考えれば、経済的に見ても原子力発電は早急に廃棄することこそ経済的なのです。今、原発の再稼働を申請している電力会社は福島第一原発の事故に何も学ばず、『たとえ重大事故が起こったとしても、また国の税金で賄えばよい』と考えているのです。電力会社の認識は、未だに福島第一原発事故以前と全く変わらず、重大事故が起きないことを前提に、廃炉や放射性廃棄物の管理などのバックエンド費用を将来世代に押し付ける無責任な『経済モデル』に基づいて、原子力発電の“刹那的な経済性”を主張しているだけだということです。
9日の大分合同新聞の夕刊に小さな記事がのりました。米国で開催された国際分子生物進化学会において、米国のサウスカロライナ大学のティモシー・ムソー教授が福島原発事故の影響によるとみられる鳥類の個体数の減少や、腫瘍の発症が認められており、放射線との関連を調べる必要があると報告したそうです。

日本の主流の科学者たちは、福島原発周辺における放射線による被害を否定することにばかり腐心しています。情けない話です。
2011年に原発事故処理に当たる作業員が放射線障害と思われる体調不良から死に至った時も、東電は早々と放射線の影響とは考えられないとしました。年末には福島第一原発の所長であった吉田昌郎氏が体調不良で現場を離れた時も放射線障害ではないと主張しました。
子どもたちに見られる甲状腺異常の数値の上昇についても、原発事故との関連は考えられないと主張しました。曰く、チェルノブイリでは事故後4、5年後に甲状腺がんの増加が見られており、早すぎるという意味不明の説明でした。このことは逆に考えれば、福島周辺の子どもたちはチェルノブイリ以上に被曝しているという可能性になぜ思い至らないのか…。
そして、10日の大分合同新聞の朝刊に吉田元所長の死亡を知らせる記事が掲載されました。

これについても、東電は被ばく線量が小さく放射線の影響である可能性は小さいとしています。70ミリシーベルトという被ばく線量は小さいのか…。既にこのコーナーで報告した通り、1976年以降に原子力発電所による放射線障害による労災と認められた10件のガンの発症において、その被ばく線量の範囲は最低は5.2ミリシーベルト、9件までは100ミリシーベルト以下でした。吉田元所長もまた東電の捨て駒にされたようです。
このような電力会社の隠蔽体質・不誠実な対応では、決死の覚悟で原発事故処理の最前線で日々被曝労働に携わっている労働者は報われません。今後数十年〜百年オーダーで継続する福島第一原発の事故処理作業を完遂させるためには、現場労働者に対する放射線管理と医療的・経済的なバックアップ体制を確立しなければ、いずれ必要な労働者の確保もままならなくなるのではないでしょうか。
そして、このところ福島第一原発の原子炉建屋海側の井戸で高濃度のセシウムが検出されました。


あまりにも東電の原子力発電所事故に対する処理能力は低く無様な対応が繰り返されています。今頃になって汚染水の海への流出を止めるためのバリアーを作ることを検討し始めた始末です。このような無能な専門家たちの無鉄砲な火遊びの道具としては、原子力発電所はあまりにも危険すぎます。
もうこれ以上の検討も必要ないでしょう。参議院選挙においてエネルギー政策として原子力発電の再稼働を容認するような政党は日本には不要です。

主要政党の中では自民党、公明党、民主党、日本維新の会、みんなの党は原子力発電所の再稼働容認の立場であり、非科学的で話しになりません。中でも自民党の原子力政策は突出しています。単に再稼働するだけでなく、核兵器保持能力を担保するために、将来的にも原子力発電・核燃料サイクルを維持する方針です。また金儲けのためには原子力発電プラントを外貨獲得の為の戦略商品として積極的に輸出しようとしています。実にふざけた話としか言いようがありません。
前回、小島さんの『CO2循環を理解するための数学的枠組み』を再掲しました。今回は、小島さんのレポートの後半部分について、このHPで紹介してきた1年毎の離散的な表現からの拡張について、高校生にも理解しやすいように、少し説明を加える事にします。
まず、『環境問題についての高校教科書の記述を科学する』の「2-1 大気中CO2濃度の構造」の1年毎の離散的な表現を以下に示しておきます。
期首における大気中の二酸化炭素量は
![]()
期末にはqout=Q・rだけ減少するので
![]()
同様に、二年度期末では
![]()

n年度期末では次の通りです。
![]()
(n+1)年度期首ではqinを加えて次のようになります。

この値は一定値に収束します。

以上のモデルでは離散化する期間を1年単位としました。ここではこれを少しだけ変更することにします。対象とする期間T年間をn期に分割することにします。

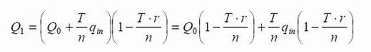
1年間あたりの地表環境からのCO2放出量qinと、1年間あたりの地表環境のCO2吸収率rを使って、1期当たり(=T/n年当たり)のCO2放出量と吸収率を次のように表すことができます。
●1期あたりの地表環境からのCO2放出量:(T/n)qin
●1期あたりの地表環境のCO2吸収率:(T/n)r
第一期の期末における大気中のCO2の残留量は次のように表すことができます。
同様に、第n期末における大気中のCO2の残留量は次のように表すことができます。

ここで、分割数nを無限に細かくした場合の極限を求めることにします。ネイピア数の定義から、次の関係があります。
これを用いると、

これで大気中のCO2量Qの時間Tに対する連続関数を求めることが出来ました。この関数QのT→∞の極限値=定常解を求めると次の通りです。

【補足】ネイピア数の定義

